Le système de filtres Suprime-Cam
Cette page décrit les filtres Suprime-Cam et les transformations entre le système photométrique Pan-STARRS et Suprime-Cam.
Les transformations ont été effectuées en utilisant (g-i)Pan-STARRS comme la couleur de référence. Le filtre Pan-STARRS le plus proche du centre La longueur d'onde du filtre a été utilisée comme magnitude de référence. La transformation était exprimée sous la forme d'un polynôme d'ordre 3e avec x étant g-i, et y étant la différence entre le Magnitude Suprime-Cam et magnitude de référence Pan-STARRS
Les liens de la Fonctions de Transmission pointent vers les versions textuelles de chaque filtre. Ceux-ci représentent la réponse complète du système, y compris l'atmosphère, le miroir primaire, l'optique Suprime-Cam, le filtre lui-même et les CCD.
| Filtres Johnson-Cousins | |
|---|---|
| W-J-B | Fonction de Transmission |
| W-J-V | Fonction de Transmission |
| W-C-RC | Fonction de Transmission |
| W-C-IC | Fonction de Transmission |
| Filtres SDSS | |
|---|---|
| W-S-G+ | Fonction de Transmission |
| W-S-R+ | Fonction de Transmission |
| W-S-I+ | Fonction de Transmission |
| W-S-Z+ | Fonction de Transmission |
| W-A-Y | Fonction de Transmission |
| Autre filtres | |
|---|---|
| W-J-VR | Fonction de Transmission |
| W-A-Y | Fonction de Transmission |
| Filtres de bande intermédiaire | |
|---|---|
| I-A-L427 | Fonction de Transmission |
| I-A-L445 | Fonction de Transmission |
| I-A-L464 | Fonction de Transmission |
| I-A-L484 | Fonction de Transmission |
| I-A-L505 | Fonction de Transmission |
| I-A-L527 | Fonction de Transmission |
| I-A-L550 | Fonction de Transmission |
| I-A-L574 | Fonction de Transmission |
| I-A-L598 | Fonction de Transmission |
| I-A-L624 | Fonction de Transmission |
| I-A-L651 | Fonction de Transmission |
| I-A-L679 | Fonction de Transmission |
| I-A-L709 | Fonction de Transmission |
| I-A-L738 | Fonction de Transmission |
| I-A-L767 | Fonction de Transmission |
| I-A-L797 | Fonction de Transmission |
| I-A-L827 | Fonction de Transmission |
| I-A-L856 | Fonction de Transmission |
| I-A-L907 | Fonction de Transmission |
| Filtres narrowband | |
|---|---|
| N-A-L656 | Fonction de Transmission |
| N-B-L711 | Fonction de Transmission |
| N-B-L816 | Fonction de Transmission |
| N-B-L921 | Fonction de Transmission |
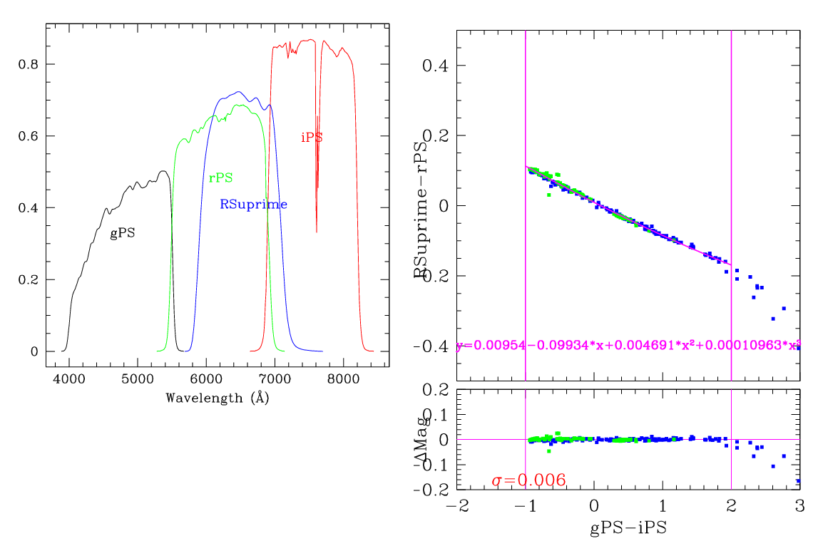
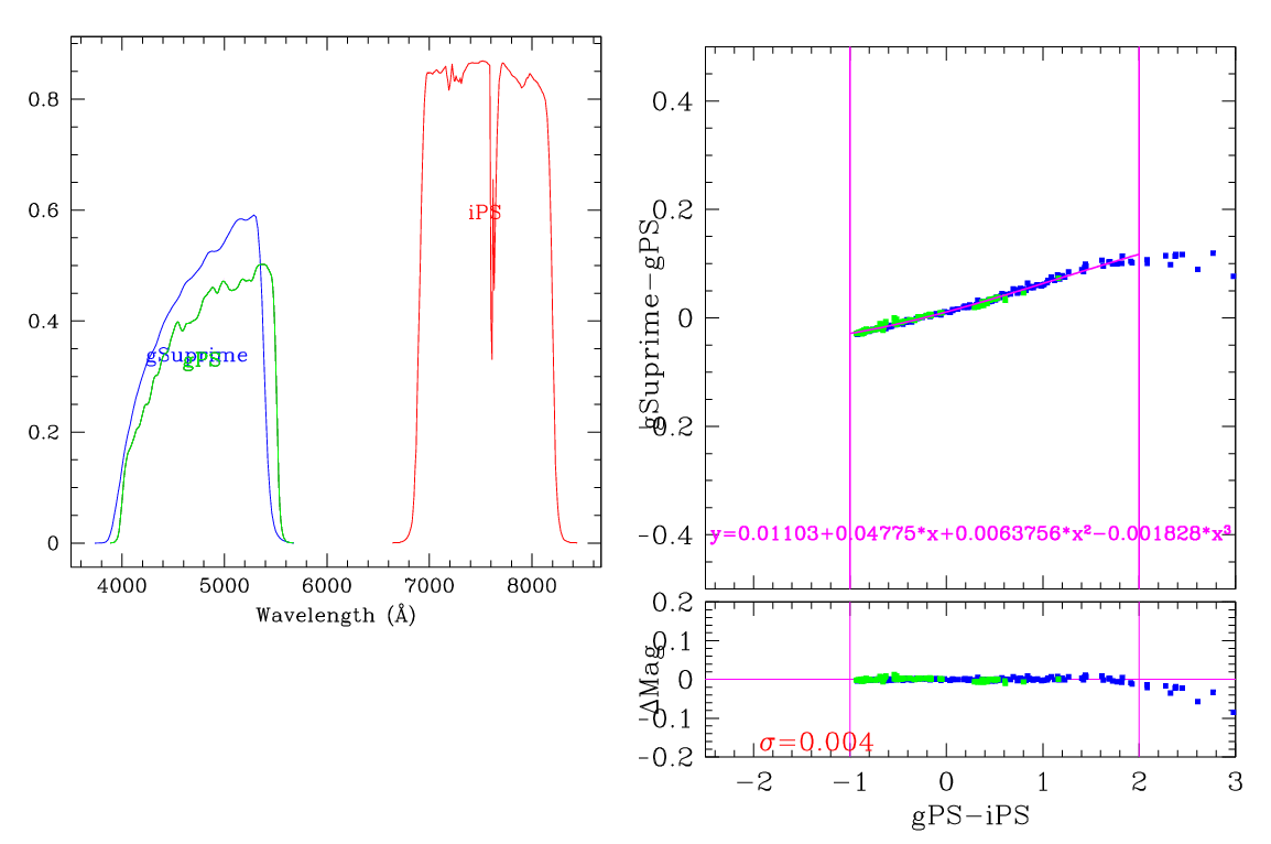
Dans les graphiques ci-dessous, le panneau de gauche montre les functions de transmission, avec le filtre Pan-STARRS correspondant. Le courbes noir et rouge les montrent les filtres Pan-STARRS g et i. La courbe verte montre la filtre de référence. Le panneau de droite montre la transformation lui-même. Les points verts et bleus montrent les étoiles Pickles et CALSPEC. La courbe magenta montre l'ajustement, également indiqué dans forme polynomiale. Les lignes verticales indiquent la gamme de couleurs où cette transformation est valide.
Filtres Johnson-Cousins
W-J-B
W-J-V
W-C-RC
W-C-IC
Filtres SDSS
W-S-G+
W-S-R+
W-S-I+
W-S-Z+
Autre filtres
W-J-VR
W-A-Y
Filtres de bande intermédiaire
I-A-L427
I-A-L445
I-A-L464
I-A-L484
I-A-L505
I-A-L527
I-A-L550
I-A-L574
I-A-L598
I-A-L624
I-A-L651
I-A-L679
I-A-L709
I-A-L738
I-A-L767
I-A-L797
I-A-L827
I-A-L856
I-A-L907
Filtres narrowband
N-A-L656
N-B-L711
N-B-L816
N-B-L921
- Date de modification :
































